| Amino acid | Sidechain pKa | Amino acid | Sidechain pKa | |
| cysteine | 8.4 | tyrosine | 10.5 | |
| aspartic acid | 3.9 | glutamic acid | 4.1 | |
| lysine | 10.5 | arginine | 12.5 | |
| histidine | 6.0 |
| RNA codon | amino acid | RNA codon | amino acid | |
| UUU | Phe | CCC | Pro | |
| AAA | Lys | GGG | Gly |
| (a) | (b) | (c) | *** (d) *** | (e) |
|
|
|
|
|
| Substrate | Km, µM | kcat, s-1 | Substrate | Km, µM | kcat, s-1 | |
| A | 0.04 | 0.03 | D | 8 | 0.7 | |
| B | 0.2 | 0.0004 | E | 80 | 40000 | |
| C | 2 | 300 | F | 1200 | 2000 |
Answer twelve of the following sixteen questions. If you answer more than twelve, cross out the answers you don't want graded. Otherwise, the grader will score the first twelve.
| Polymer | monomer | significance |
| Protein | amino acid | Proteins serve as enzymes, carrier molecules, structural entities, and control entities. |
| Nucleic acid | nucleotide | Nucleic acids encode functional information (DNA) and provide machinery for turning that encoding into proteins (RNA) |
| Polysaccharide | sugar | Polysaccharides make up structural elements in cells and act as storage centers for energy-producing molecules. |
| Lipids | fatty acids, glycerol, etc. | Lipids are energy-storage molecules and make up membranes. |

![]() |
pyridoxal phosphate |


![]() |
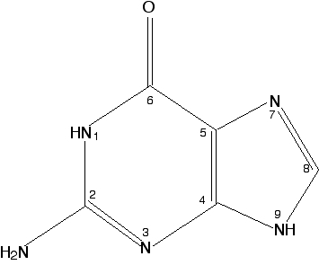
Guanine |
![]() |
chorismate. |
| This molecule is derived from shikimate and can be converted into intermediates that lead in two steps to either phenylalanine or tyrosine; a somewhat longer pathway leads to tryptophan. | |
| (Two points for chorismate or chorismic acid; two points for the fact that it leads to phe, tyr, and trp.) |
![]() |
This cyclic intermediate is created in a hydroxyl attack on the 2'-OH
group of 3'-phosphoribose or a 3'-phosphoribonucleotide, either on its
own or as part of an RNA polymer.
The cyclic intermediate then decomposes either into
a 2'-nucleoside monophosphate or a 3'-nucleoside monophosphate, with
concomitant breakage of the sugar-phosphate backbone at the 3' position.
The result is that the RNA backbone is broken. These reactions don't occur
in DNA because DNA doesn't have a hydroxyl at 2' to participate in
this reaction. (Drawing: 2 points if it's correct; up to 1.5 points for a partially correct drawing.) (Explanation: 4 points for a plausible explanation. The explanation should include the fact that this intermediate can form in an RNA polymer or a big piece of RNA, and that chain cleavage at the 3' position will occur after the cyclic intermediate breaks up.) |
Types of ribonucleic acid
| Type | Steady-state level |
Size | Role in translation |
| rRNA | 83% | Large | Catalysis and scaffolding in ribosome |
| tRNA | 14% | ~65-90 bases | Carry activated amino acids to translational machine |
| mRNA | 3% | 100-10000 bases | Contains transcribed template to be used in translation |
| sRNA | < 1% | 50-1000 bases | varies |